전체 프로세스 (CRISP-DM)
데이터의 shape
모델,모델링
- 모델 : 데이터로부터 패턴을 찾아, 수학식으로 정리 해놓은 것
- 모델링 : 오차가 적은 모델을 만드는 과정
-> 샘플을 가지고 전체를 추정
모델의 성능
모델의 성능은 오차(error)로 계산
- 모델링 : train error를 최소화 하는 모델 생성하는 과정
- 모델 튜닝 : validation error 를 최소화 하는 보델 선정
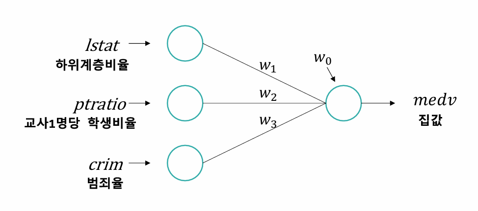
딥러닝 모델 표현 방법
- 선형 회귀 모델


Colab 사용법
1. 구글 드라이브에 새폴더 생성

2. 새 폴더에 파일 업로드

3. 파일 오른쪽 클릭, 'Google Colaboratory' 클릭

** 'Google Colaboratory' 뜨지 않는 경우, '연결한 앱 더보기' > ' Colaboratory' 검색 > 설치
+) 런타임 유형 변경 기능


+) 도구 > 설정 > 테마 변경 가능


+)이전 셀 한번에 실행시키는 방법


클라우드에 가상 개발 환경이 생김
'Dev > 딥러닝' 카테고리의 다른 글
| [딥러닝]Tensorflow : Neural Network Playground (1) | 2024.10.14 |
|---|---|
| [딥러닝] 딥러닝 모델링 : Regression (1) | 2024.10.11 |
| [딥러닝] 개념 이해 (1) | 2024.10.10 |