1. 성능 평가 기준
1) 분류 모델
- 대부분 binary 를 이야기 함. 0인지 1인지 예측
- 실제 값과 예측 값 둘다 0 or 1
- 예측 값과 실제 값이 많이 같을 수록 좋은 모델임 (갯수)
-> 정확히 예측한 비율로 모델 성늘을 평가 (정확도)
ex) 100개를 예측했는데 몇개를 맞추었는가?
2) 회귀모델
- 정확한 값을 예측하긴 어려움
- 예측값과 실제 값에 차이(오차)가 존재 할 것
- 예측값과 실제 값이 가까울 수록 좋은 모델임
-> 예측한 값과 실제 값의 차이로 모델 성능을 평가 (오차)
2. 회귀 모델 성능 평가
1) 실젯값, 평균값,예측값
실젯값 (y, y_test)
-실제로 예측하고 싶은 값, target(목표값)
- 이 값과 비교하여 모델의 성능을 평가
- 오차 : 실제값과 예측값과 차이
평균값 ( y^ , y-hat, y_pred)
- 이미 알고있는 평균으로 예측한 값
- 이 값보다는 실제값에 가까운 예측값을 원함
- 모델의 예측값이 평균값보다 오차를 얼마나 더 줄였는지
예측값
- 모델이 새롭게 예측한 값
- 평균값보다는 좋아햐함
2) 평가 지표
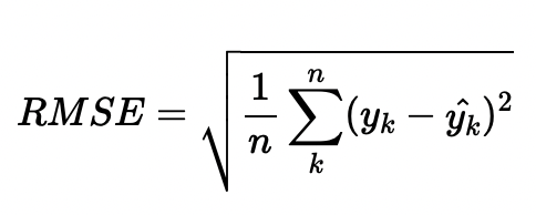
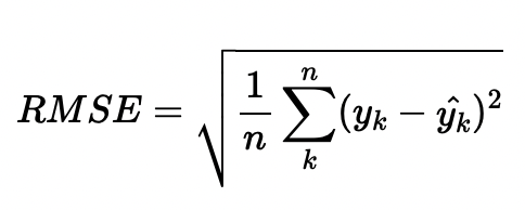
평가지표1 : SSE (오차 제곱의 합)
| SSE | 오차 제곱의 합 Sum Squared Error |
|
| MSE | 오차 제곱의 합의 평균 Mean Squared Error |
![]() |
| RMSE | 오차 제곱의 합의 평균에 루트 Root MSE |
![]() |
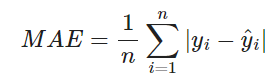
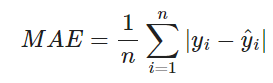
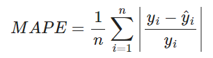
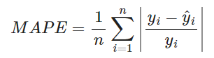
평가지표 2 : MAE (오차 절대값의 합 )
| MAE | 오차 절대값의 합의 평균 Mean Absolute Error |
![]() |
| MAE | 오차 비율 Mean Absolute Percentage Error |
![]() |
평가지표 3 : SST (Sum Squared Total, 전체 오차)
평가지표 4 : R^2 ( 결정 계수)
3. 분류 모델 성능 평가
| 실제 (y) | 예측(y^) |
| 1 | 1 |
| 1 | 1 |
| 0 | 1 |
| 0 | 0 |
| 1 | 0 |
| 0 | 0 |
| 0 | 0 |
| 1 | 0 |
| 1 | 1 |
| 1 | 1 |
1)평가지표
평가 지표1: Accuracy (정확도)
평가 지표2: Precision (정밀도)
- 예측관점에서
평가 지표3: Recall (재현율)
- 실젯 Positive(FN +TP)중에서 Positive(TP)라고 예측한 비율
- 민감도(Sensitivity) 라고 부르는 경우 많다
***precision 과 recall의 상관관계
- precison 이 높아지면 recall 낮아짐
ex) 소극적 진료 : 정말 높은 확률인 사람에게만 암진단을 내리면 암일수도있던 사람에게는 암진단을 내릴 수 없음
ex) 정말 사기일 것 같은 사람에게만 사기라고 정의하면 precision은 높아질 것임. recall은 낮아짐
- recall 높아지면 precision이 낮아짐
ex) 적극적 진료 : 의심되는 사람에게 암진단을 내리면 recall은 높아짐. 아닐 수도있는 사람에게 진단할 확률도 높기 때문에 precision이 낮아진다.
ex) 조금이라도 의심되면 사기라고 정의함 -> recall이 올라감
평기지표 4: Specificity (특이도)
- 실제 Negatice(TN+FP) 중에서 Negatice로 예측한 비율(TN) 비율'
-
평가 지표5 : F1-Score
- 정밀도와 재현율의 조화 평균
- 분자가 같지만 분모가 다를 경우, 즉 관점이 다른 경우에 조화 펴균이 의미가 큼
- 제일 작은 평균 , 보수적인 평균
'Dev > 머신러닝' 카테고리의 다른 글
| [머신러닝] Scikit-Learn 모델링 코드 구조 및 과정 (1) | 2024.09.26 |
|---|---|
| [머신러닝] 머신 러닝의 이해와 개념 (0) | 2024.09.26 |



